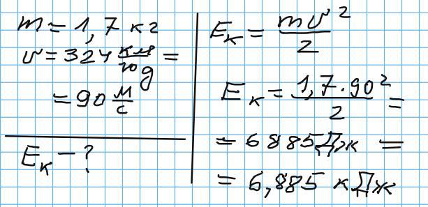
Сокіл-сапсан під час полювання розвиває швидкість 324 км/год. Знайдіть кінетичну енергію соколу, якщо його маса дорівнює 1,7 кг. Відповідь подати в кДж.
ПРОШУ ПОМОГИТЕ МАМА УБЬЕТ ДАЮ 100 БАЛЛОВ
Ответы
Ответ дал:
1
Відповідь: 6,885 кДж
Пояснення:
Приложения:

pashevich565:
спасибо!!
Ответ дал:
1
Ответ:
6,885кдж
Объяснение: ответ 6.885 кдж
Вас заинтересует
2 года назад
2 года назад
2 года назад
8 лет назад
8 лет назад
9 лет назад