Ответы
Ответ дал:
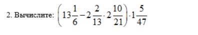
1
Ответ:
Решение на фото)...........
Приложения:

Ответ дал:
1
Ответ:
Пошаговое объяснение: на фото
Приложения:

Вас заинтересует
2 года назад
2 года назад
2 года назад
2 года назад
8 лет назад
8 лет назад
9 лет назад