• Предмет: Физика
  • Автор: rudnievaiaie
  • Вопрос задан 7 лет назад

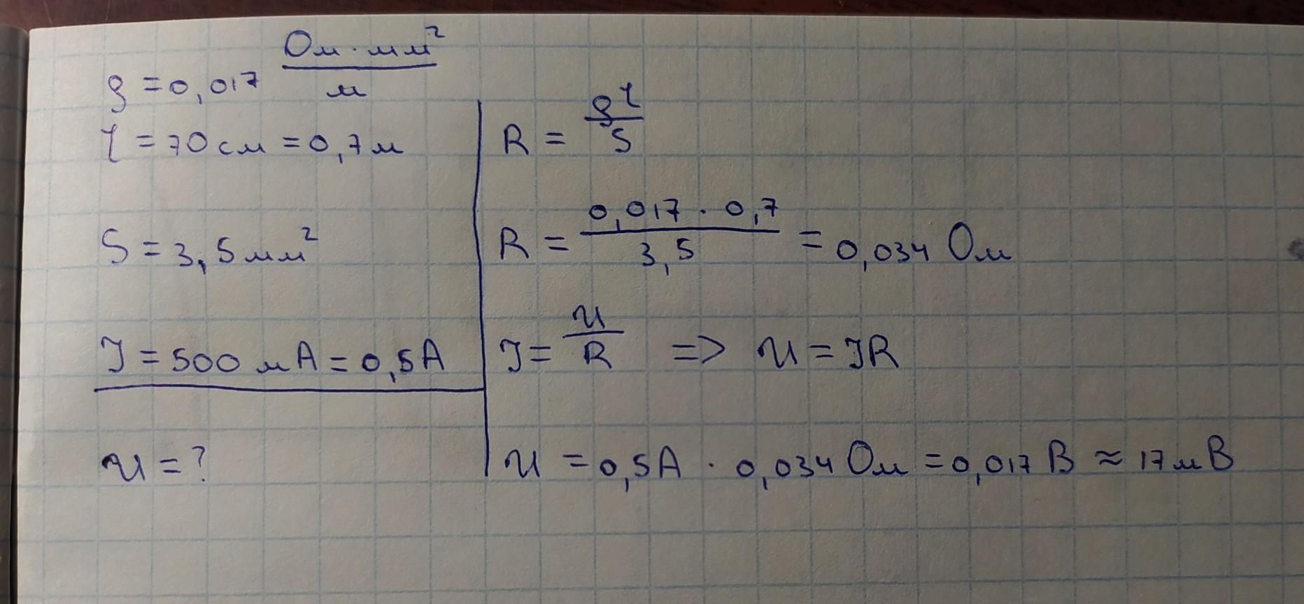
2 Яка напруга в колі , якщо в мідному провіднику довжиною 70 см і площею поперечного перерізу 3,5 мм кв сила струму 500 мА ?

Пожалуйста, полностью расписать задачу ​

Ответы

Ответ дал: kozlenkomiroslava
2

.....................

Приложения:
Вас заинтересует