• Предмет: Физика
  • Автор: ihorilkiv123456789
  • Вопрос задан 7 лет назад

Срочно помогите!

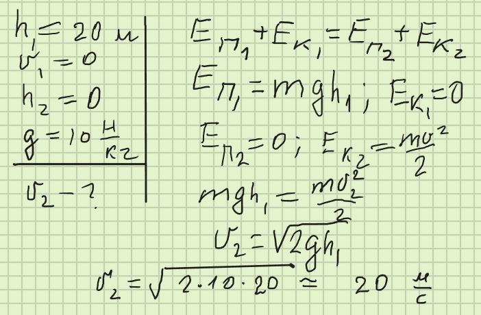
тіло в стані спокою падає з висоти 20 м,визначити швидкість руху тіла поблизу поверхні землі​

Ответы

Ответ дал: zybkov1950
1

Відповідь: 20 м/с

Пояснення:

Приложения:
Вас заинтересует