• Предмет: Алгебра
  • Автор: plochutatanya
  • Вопрос задан 7 лет назад

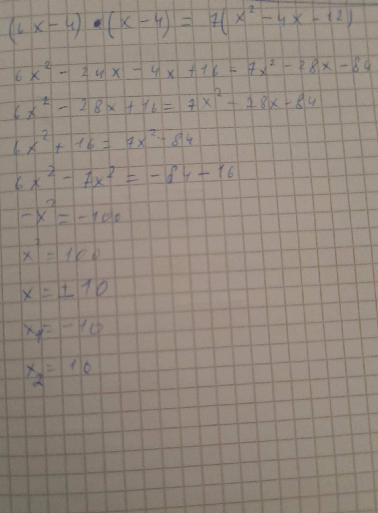
(6x-4)(x-4)=7(x²-4x-12) ​

Ответы

Ответ дал: Angelino4ka95
1

Объяснение:

(6x - 4)(x - 4) = 7( {x}^{2}  - 4x - 12)

6 {x}^{2}  - 24x - 4x + 16 = 7 {x}^{2}  - 28x - 84

6 {x}^{2}  - 28x + 16 = 7 {x}^{2}  - 28x - 84

6 {x}^{2}  + 16 = 7 {x}^{2}  - 84

6 {x}^{2}  - 7 {x}^{2}  =  - 84 - 16

 -  {x}^{2}  =  - 100

x = 10

x =  - 10


Angelino4ka95: можно лучший ответ
plochutatanya: спасибо большое)
Angelino4ka95: Тебе тоже спасибо)
Ответ дал: usasdango
1

Решение на фотографии!

Приложения:

plochutatanya: спасибо)
Вас заинтересует