Ответы
Ответ дал:
1
Ответ:
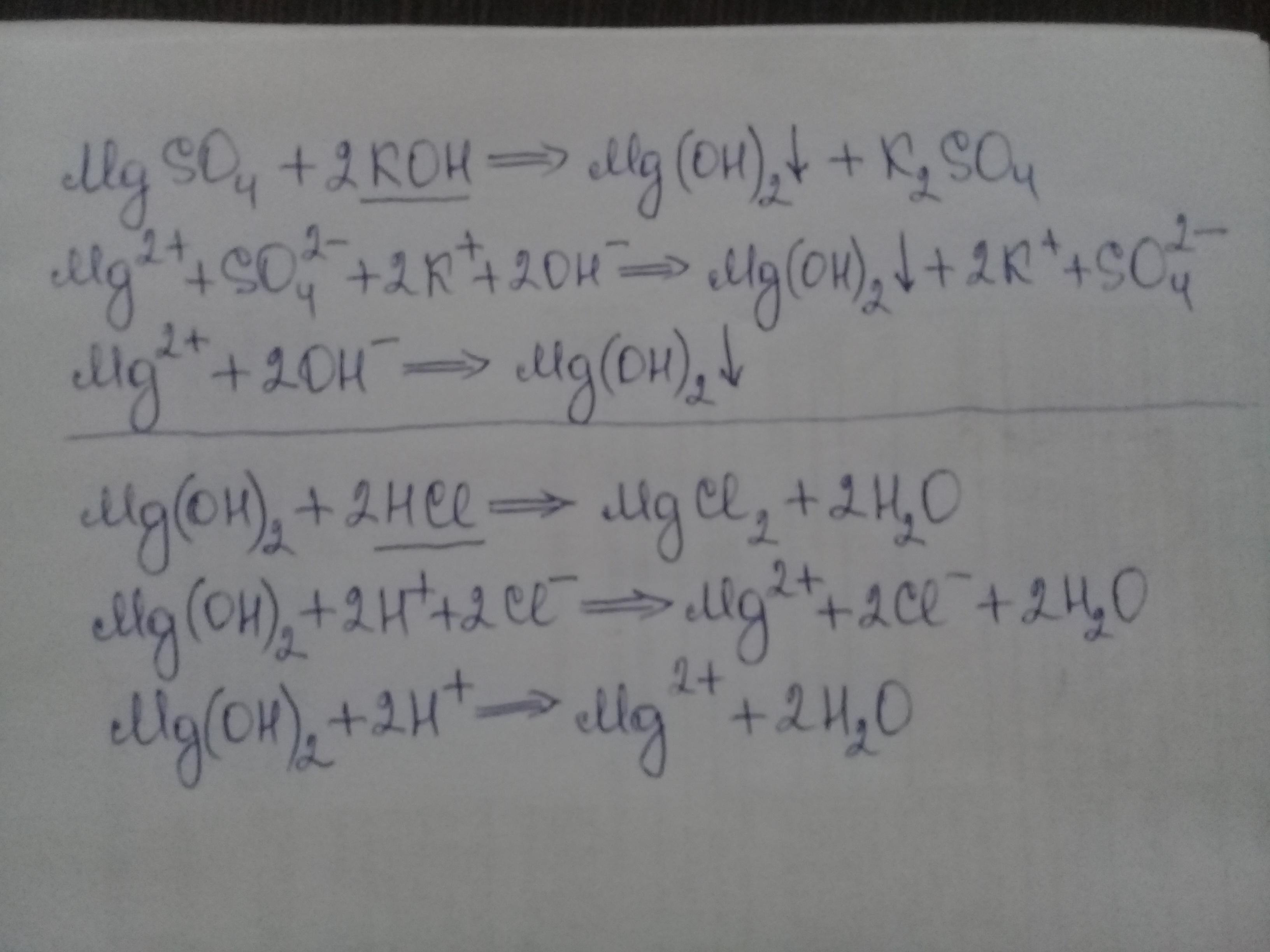
См. фото
Из сульфата магния получаете гидроксид магния добавлением раствора щёлочи. Далее растворяете осадок гидроксида магния в соляной кислоте и получаете хлорид магния.
Приложения:

gipa22:
Спасибо большое!!!
Вас заинтересует
2 года назад
2 года назад
2 года назад
8 лет назад
8 лет назад
9 лет назад