• Предмет: Алгебра
  • Автор: nikitacernavskij26
  • Вопрос задан 7 лет назад

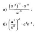
Нужно упростить, надеюсь поможете мне

Приложения:

Ответы

Ответ дал: jerrymynigga
1

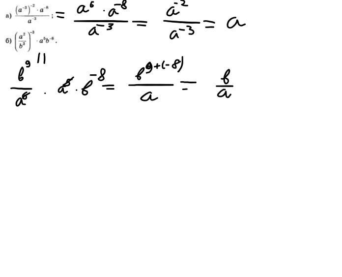
Ответ:

Ответ прикреплен

Объяснение:

Приложения:
Вас заинтересует