Ответы
Ответ дал:
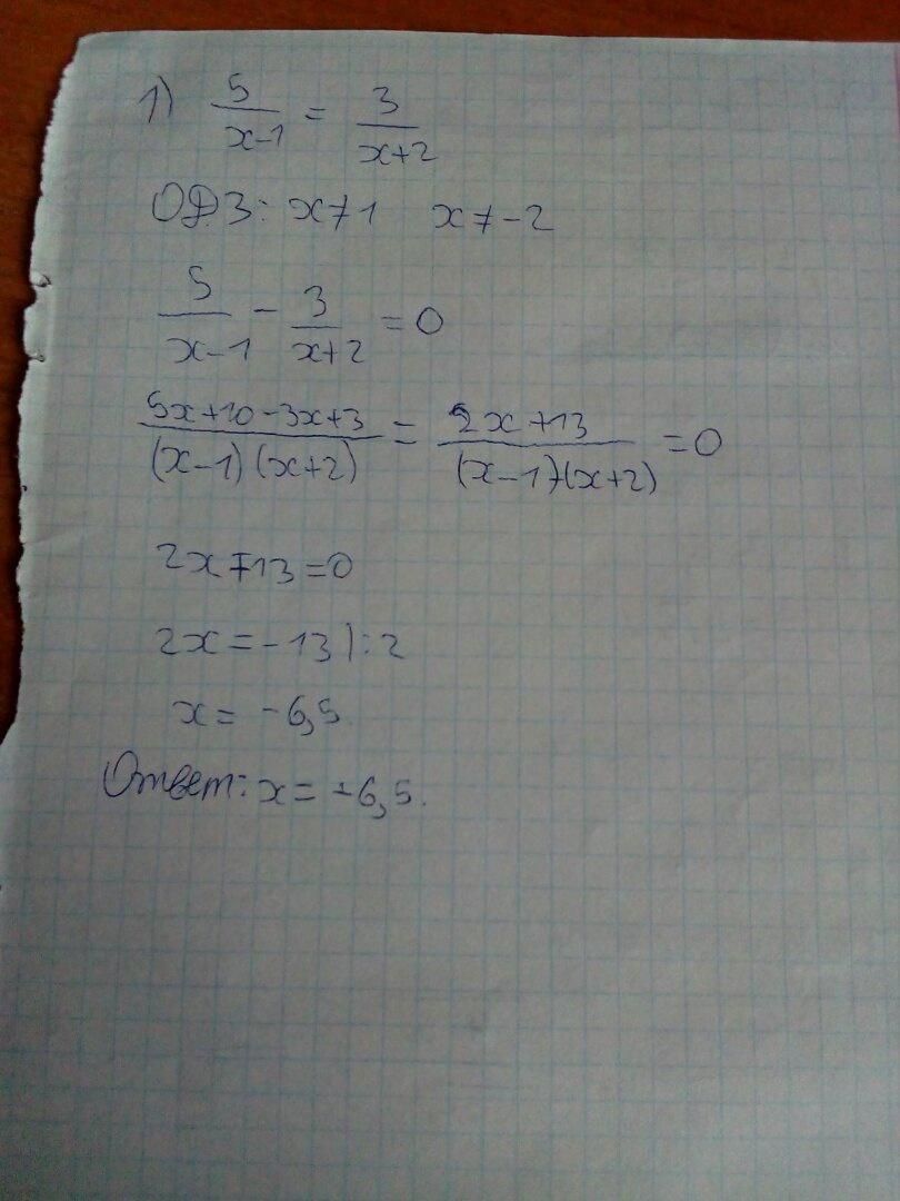
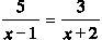
1
Ответ: -6,5
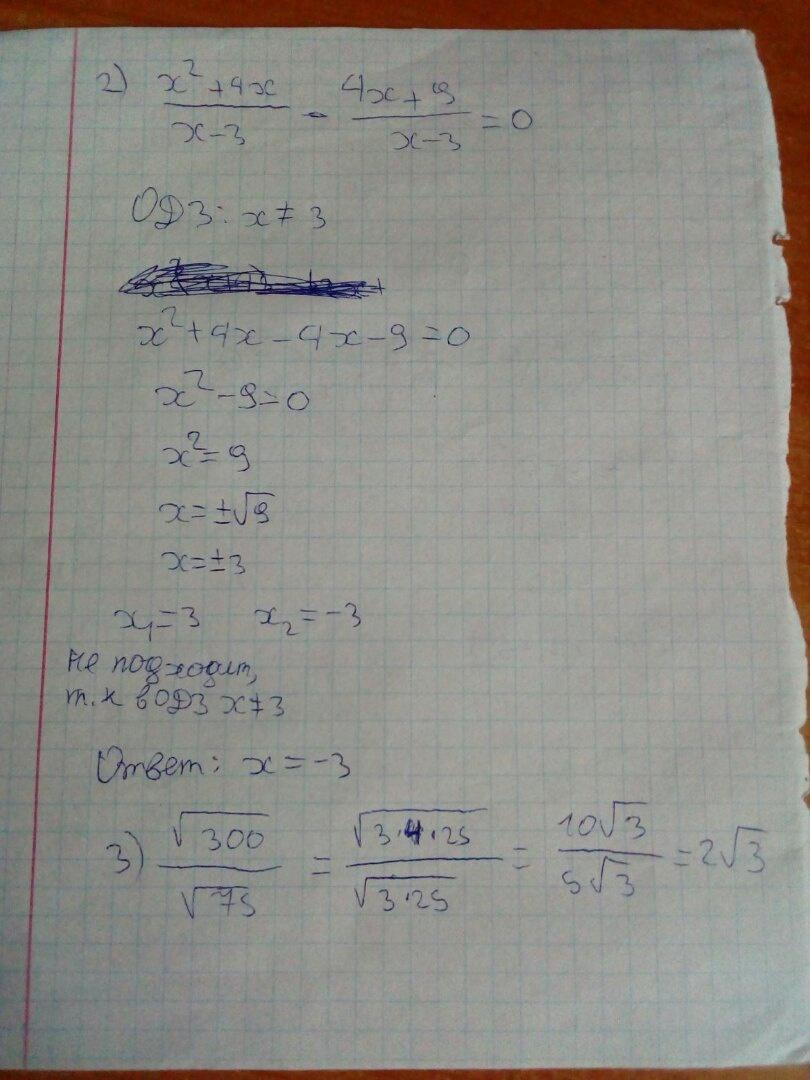
Ответ: 3 ; -3
Ответ дал:
1
Вот решение:............
Приложения:


msTen:
Спасибо, все три варианта)
Вас заинтересует
2 года назад
8 лет назад
8 лет назад
9 лет назад