• Предмет: Алгебра
  • Автор: sashatushevskaj
  • Вопрос задан 7 лет назад

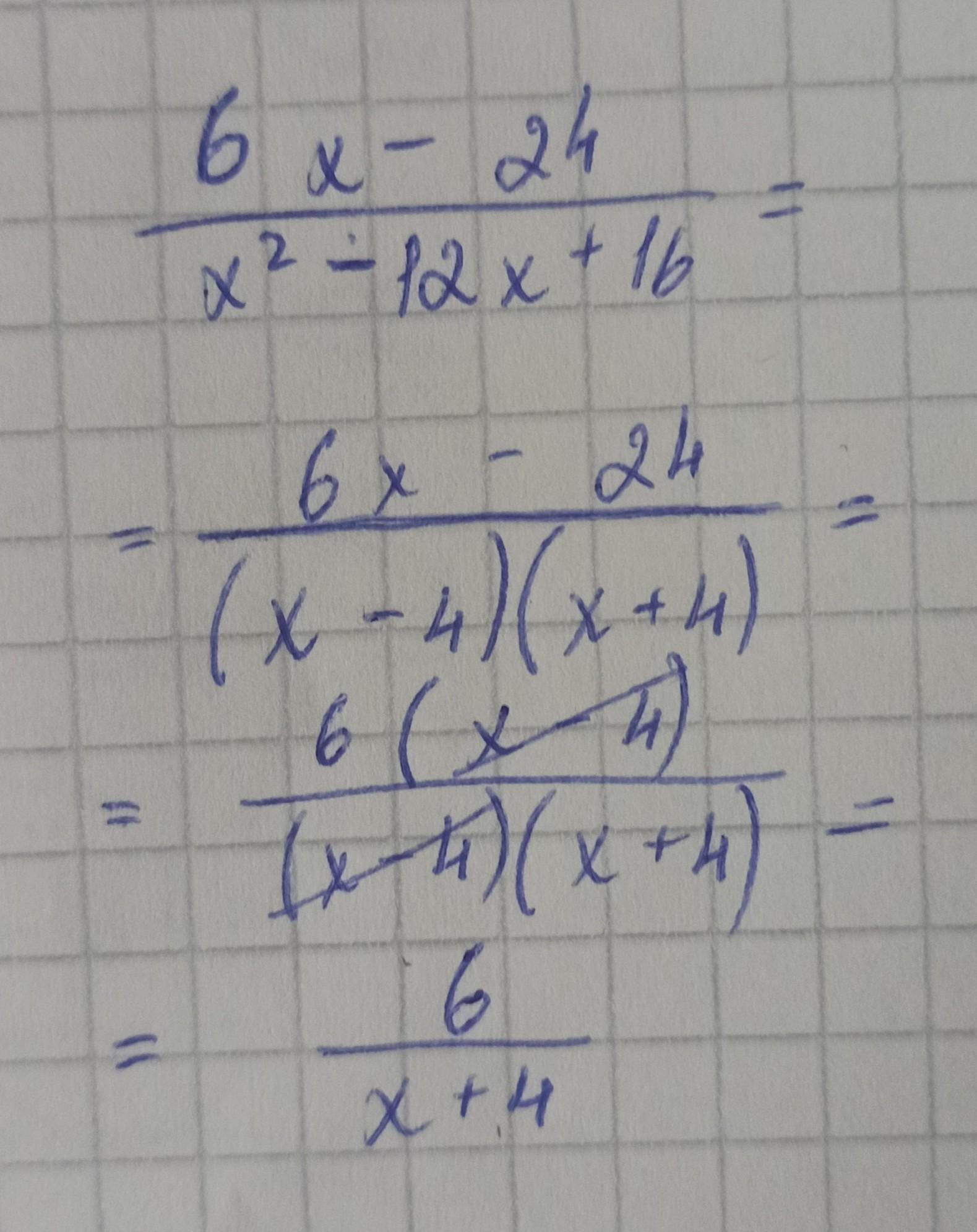
Сократите дроби с помощью формул сокращенного умножения :​

Приложения:

Ответы

Ответ дал: darynabondar1907
1

Ответ:

надеюсь, всё предельно ясно

Объяснение:

за качество фото извиняюсь.

Приложения:

sashatushevskaj: спасибо
Вас заинтересует