Ответы
Ответ дал:
1
Пошаговое объяснение:
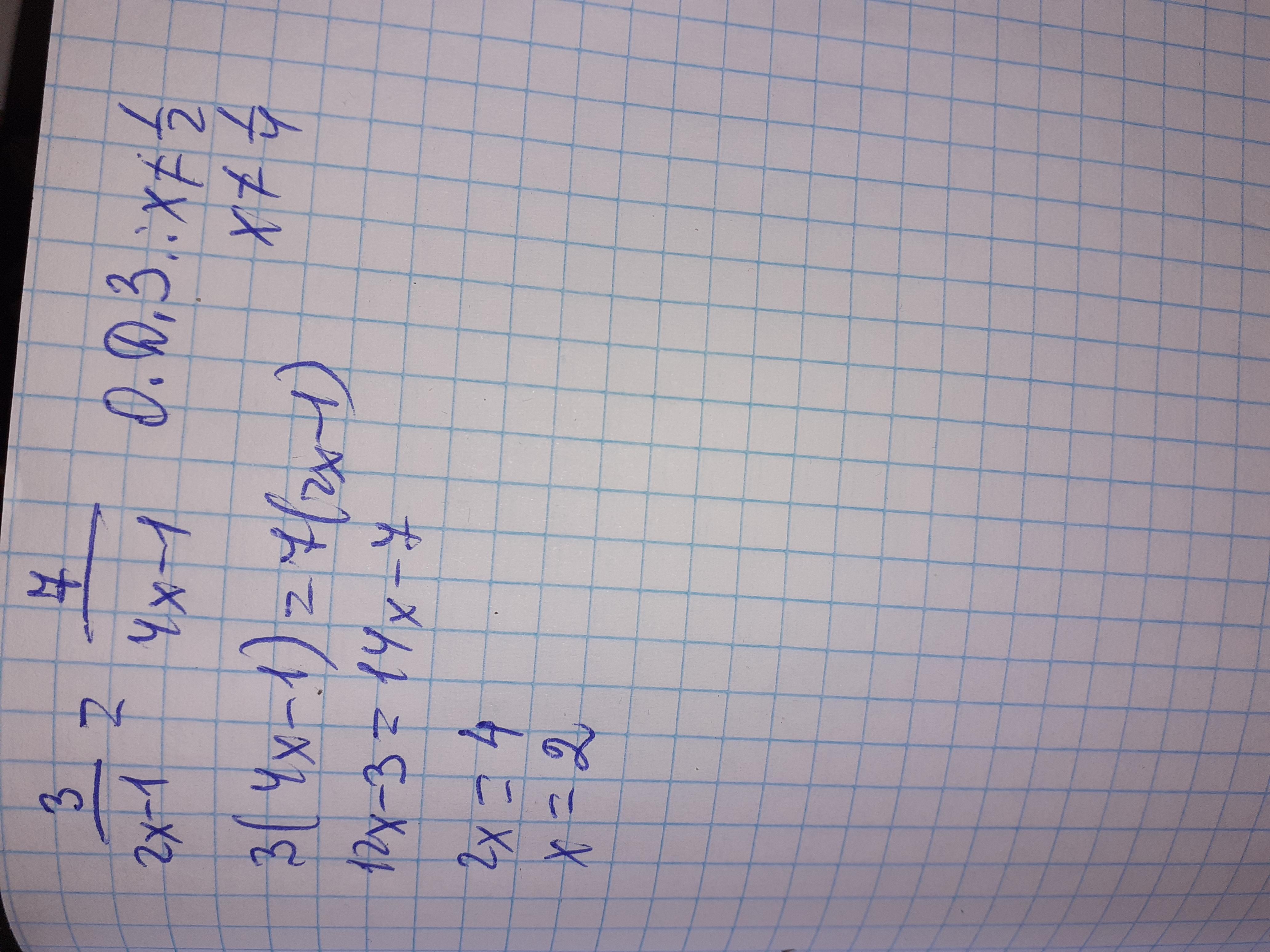
3(4х-1) = 7(2х - 1)
(раскроем скобки) 12х - 3 = 14х - 1
(переносим с переменной в одну часть, и без переменной в другую) 12х - 14х = -7 + 3
(вычисляем подобные слагаемые) -2х = - 4
х = 2
xilolashakirova:
спасибо большое
Ответ дал:
1
Ответ:вот
Пошаговое объяснение:
Приложения:

Вас заинтересует
2 года назад
2 года назад
8 лет назад
8 лет назад
9 лет назад