Ответы
Ответ дал:
1
Ответ:
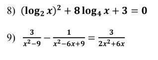
решение смотри на фотографии
Приложения:


manyny06:
сейчас добавлю второй пример
Вас заинтересует
2 года назад
2 года назад
2 года назад
8 лет назад
8 лет назад
9 лет назад