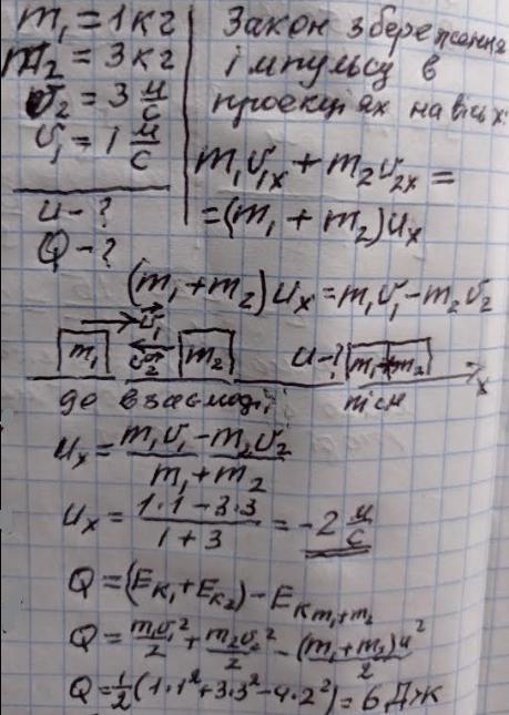
Кулі масами 1 і 3 кг рухаються назустріч одна одній зі швидкостями
відповідно 1 і 3 м/с. Чому дорівнюватимуть швидкості куль після абсолютно
непружного удару? Яка кількість теплоти при цьому виділиться?
Ответы
Ответ дал:
1
Відповідь: 1. - 2 м/с; знак " - " вказує на те, що швидкості куль після абсолютно непружного удару напрямлені у від'ємному напрямку осі x; 2. 6 Дж
Пояснення:
Приложения:

Вас заинтересует
2 года назад
2 года назад
2 года назад
8 лет назад
9 лет назад
9 лет назад