• Предмет: Математика
  • Автор: linkotima
  • Вопрос задан 7 лет назад

помогите составить уравнение и решить

Приложения:

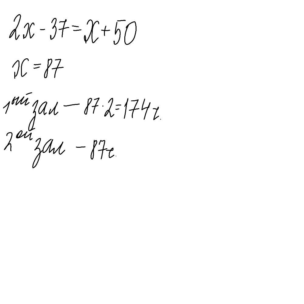
miki68: 2х-37=х+50 , х=87 , 87+50=137
linkotima: А точнее?
miki68: ой, ошибся: 2х-37=х+50 , х=87 зрителей в первом зале , 87*2=174 зрителя во втором зале
elenians: а можно будет за мой ответ корону, пожалуйста?
linkotima: мало точности,я прошу с пошаговыми объяснением,что такое x,как решали уравнение,у меня кр,а не тупо дз
miki68: пусть х во втором зале, тогда 2х в первом, после того, как ушли и пришли стало 2х-37 и х+5, по условию зрителей стало поровну, уравняем стороны и составим уравнение 2х-37=х+50
linkotima: Реши уравнение пошагово (не заставляю,просто оч надо )

Ответы

Ответ дал: elenians
0

Ответ:отметь, пожалуйста, как лучший ответ, очень надо<3

Пошаговое объяснение:в файле

Приложения:
Вас заинтересует