• Предмет: Физика
  • Автор: goodrootman
  • Вопрос задан 7 лет назад

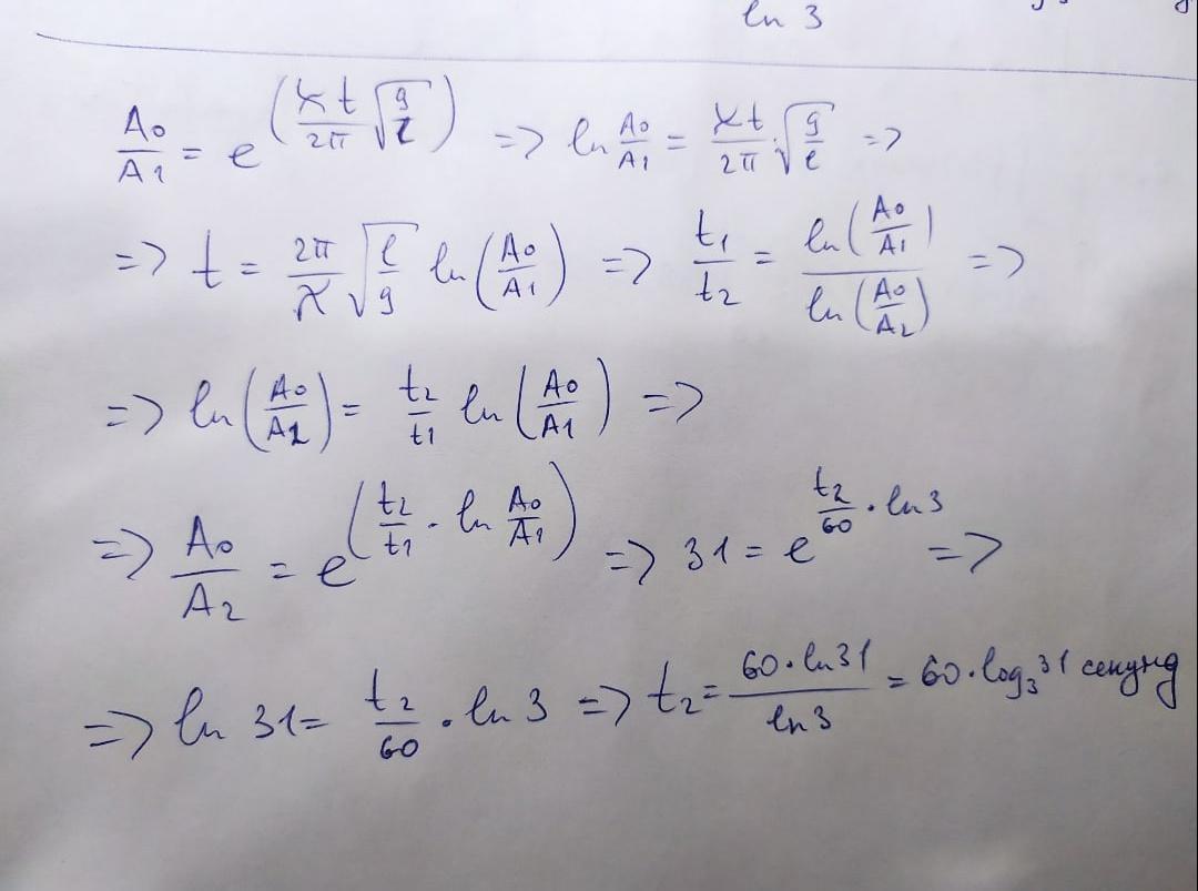
Амплитуда затухающих колебаний маятника за время t =1 мин
уменьшилась в n1 = 3 раза. За какое время, считая от начального момента,
амплитуда этих колебаний уменьшится в n2 = 31 раз?

Ответы

Ответ дал: sergeykhusainov627
1

Ответ:

qqqqqqqqqqqqqqqqqqqqqqqqqqqqqqqqqqqqqqqqqqqqqqqqqqqqqqqqq

Объяснение:

Приложения:
Вас заинтересует