в равнобедренном треугольнике ABC с основанием AC угол B равен 3х+ 11° и угол C равен 3x - 1° Найдите X (дам 25 баллов)
Ответы
Ответ дал:
3
Ответ:
19°
Пошаговое объяснение:
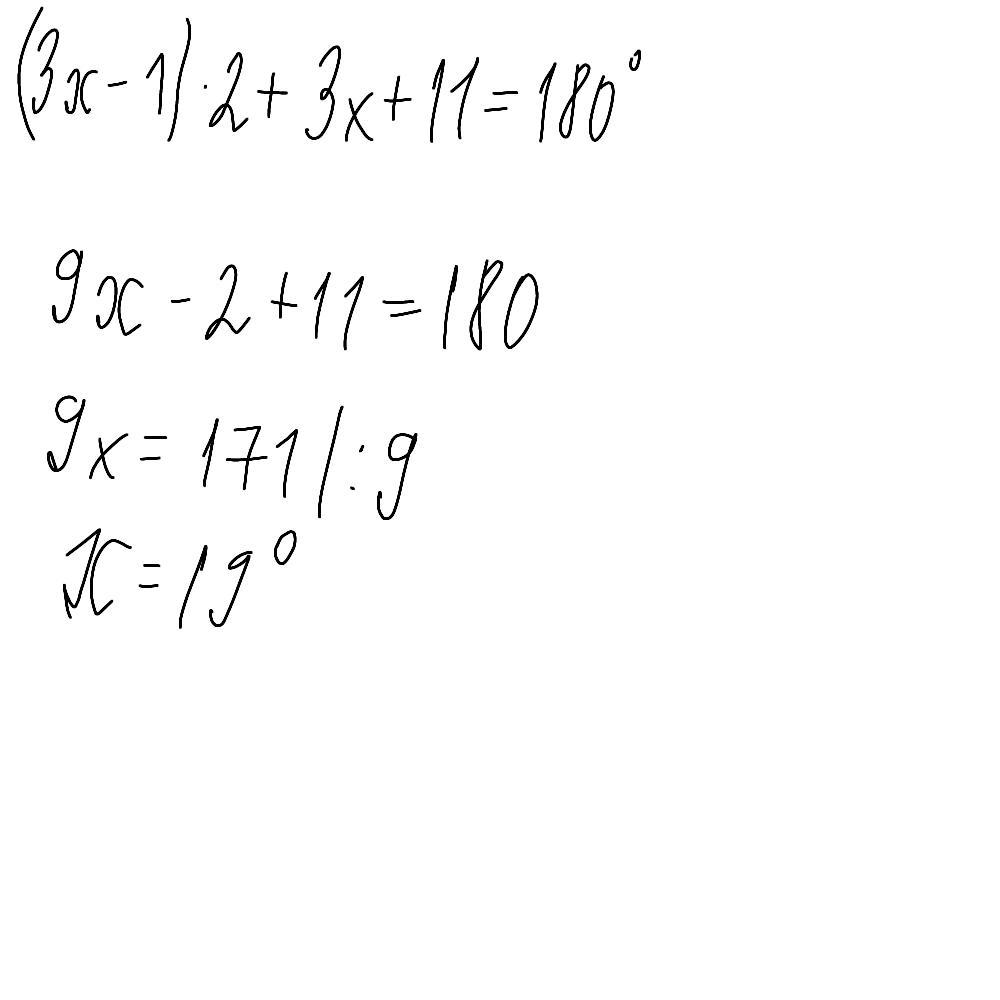
ΔАВС - равнобедренный с основанием АС, значит ∠А=∠С
∠В=3х+11°, ∠С=3х-1°, значит и ∠А=3х-1°
По теореме о сумме углов треугольника: ∠А+∠В+∠С=180°
Составим уравнение и найдём х:
3х-1° + 3х+11° + 3х-1° = 180°
9x+9°=180°
9x=180°-9°
9x=1171°
x=171°:9
x=19°
elenians:
а при переносе через равно знак не меняется??
Ответ дал:
2
Ответ:все в файле
Пошаговое объяснение:отметь, пожалуйста, как лучший ответ, очень надо<3
Приложения:

Вас заинтересует
2 года назад
2 года назад
2 года назад
8 лет назад
8 лет назад