• Предмет: Алгебра
  • Автор: Аноним
  • Вопрос задан 7 лет назад

Даю 35 баллов. Какой тут используется метод решения системы уравнений?

Приложения:

sergeevaolga5: И в первом и во втором примерах - метод подстановки

Ответы

Ответ дал: MuhammadGulu
1

Это метод постановки. ...

Ответ дал: NNNLLL54
1

Ответ:

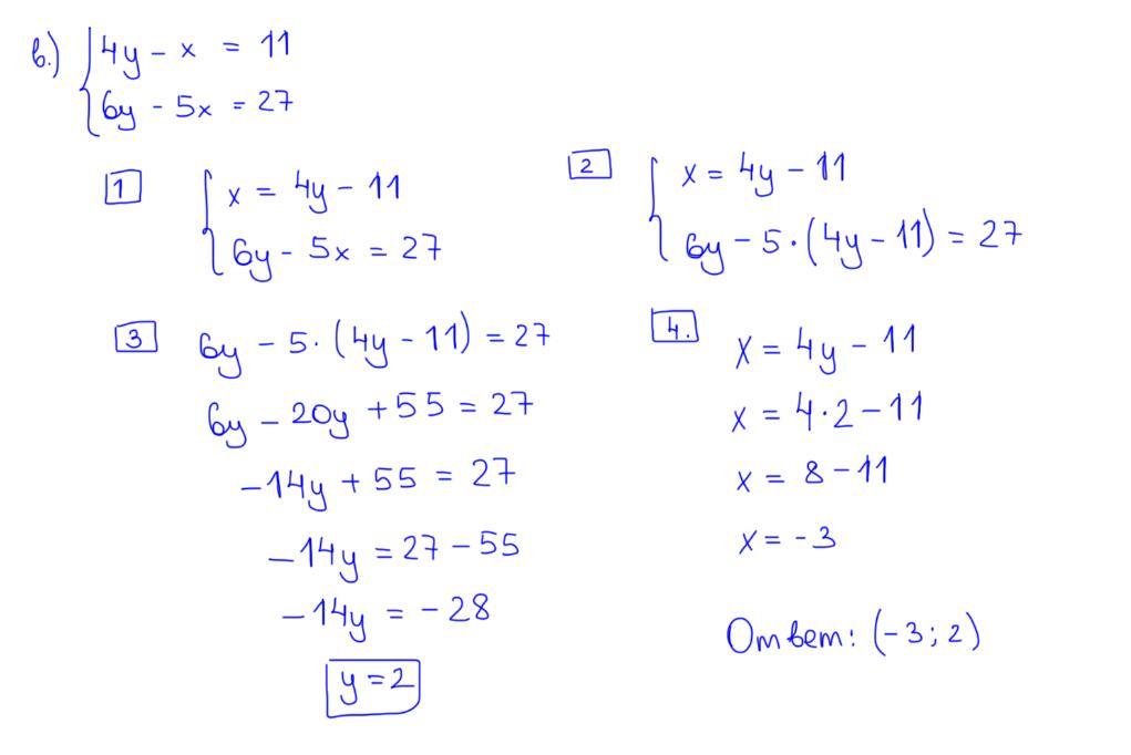
Метод решения системы уравнений - метод подстановки, так как из первого уравнения выражают переменную  х  и подставляют выражение во второе уравнение .

4y-x=11\ \ \ \to \ \ \ x=4y-11\\\\6y-5x=27\ \ \ \to \ \ \ 6y-5\cdot (\underbrace{4y-11}_{x})=27

Затем выражение упрощают и находят  у .

6y-20y+55=27\  \,\ \ -14y=-28\ \ ,\ \ \underline{\ y=2\ }

А затем уже это значение  у , число 2, подставляют в одно из уравнений системы и находят значение  x .

x=4y-11\ \ \ \to \ \ \ x=4\cdot 2-11\  \,\ \ \underline{\ x=-3\ }  

В ответ записывают пару значений переменных  \boldsymbol{(-3\, ;\, 2\, )}  .


Аноним: спасибо большое
Вас заинтересует