• Предмет: Алгебра
  • Автор: Аноним
  • Вопрос задан 7 лет назад

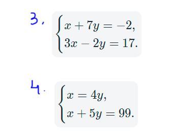
Даю 35 баллов. Решите систему линейных уравнений

Приложения:

NikolayZavod: Решил снизу. Уже более подробно не бывает.

Ответы

Ответ дал: Аноним
3

\displaystyle 1)\left \{ {{x+7y=-2} \atop {3x-2y=17}} \right.\\ \\\left \{ {{x=-2-7y} \atop {3x-2y=17}} \right.\\ \\3(-2-7y)-2y=17\\y=-1\\x=-2-7(-1)\\x=5\\(x,y)=(5,-1)\\\\2)\left \{ {{x=4y} \atop {x+5y=99} \right. \\\\4y+5y=99\\y=11\\x=4*11\\x=44\\(x,y)=(44,11)


Аноним: Спасибо
NikolayZavod: Только вот объяснений нет.
Ответ дал: NikolayZavod
2

3. \left \{ {x+7y=-2} \atop {3x-2y=17}} \right.

Решаем уравнение относительно х:

\left \{ {{x=-2-7y} \atop {3x-2y=17}} \right.

Подставляем данное значение х в уравнение 3х - 2у = 17:

3(-2-7y)-2y=17

Решаем уравнение относительно y:

1) Распределяем 3 через скобки: -6 - 21y - 2y = 17

2) Приводим подобные члены: -6 - 23y = 17

3) Переносим постоянную в правую часть и сменяем ее знак на противоположный: -23у = 16 + 6

4) Слаживаем числа: -23у = 23

5) y = -1 (что бы узнать у делим 23 на -23.

Подставляем данное значение y в уравнение х = -2 - 7у:

х = -2 - 7 · ( -1 )

Решаем уравнение относительно х:

1) Любое выражение, умноженное на -1, равно ему противоположному: х = -2 + 7.

2) Вычисляем сумму: х = 5.

Решение системы является упорядоченная пара чисел (х, у):

(х, у) = (5, -1)

Проверяем, является ли упорядоченная пара чисел решением системы уравнений:

1)\left \{ {{5+7*(-1)=-2} \atop {3*5-2*(-1)=17}} \right.

2) Упрощаем уравнения: \left \{ {{-2=-2} \atop {17=17}} \right.

Решение системы: (х, у) = (5, -1)

4. \left \{ {x= 4y} \atop {x+5y=99}} \right.

Подставляем данное значение х в уравнение х + 5у = 99:

4у + 5у = 99

Решаем уравнение относительно у:

1) Приводим подобные члены: 9у = 99

2) у = 11 (делим 99 на 9)

Подставляем данное значение у в уравнение х = 4у:

х = 4 · 11

Решаем уравнение относительно х:

х = 44

Решением системы является упорядоченная пара чисел (х, у)

(х, у) = (44, 11)

Проверяем, является ли упорядоченная пара чисел решение системы уравнений:

\left \{ {{44=4*11} \atop {44+5*11=99}} \right.

Упрощаем уравнения:

\left \{ {{44=44} \atop {99=99}} \right.

Решение системы: (х, у) = (44, 11).

Мы решили данные системы методом подстановки.


Аноним: лучший
NikolayZavod: Благодарю.
Вас заинтересует