с какого расстояния сфотографировано здание длиной 8 м, если его изображение на негативе получилось длиной 4 см? Фокусное расстояние объектива фотоаппарата 5 см. ПОМОГИТЕ ПОЖАЛУЙСТА ОЧЕНЬ НАДО,ДАНО, ФОРМУЛА И РЕШЕНИЕ НУЖНО НАПИСАТЬ!!!!
Варианты ответов: а) 4 б) 10 с) 41 д) 13
Ответы
Ответ дал:
5
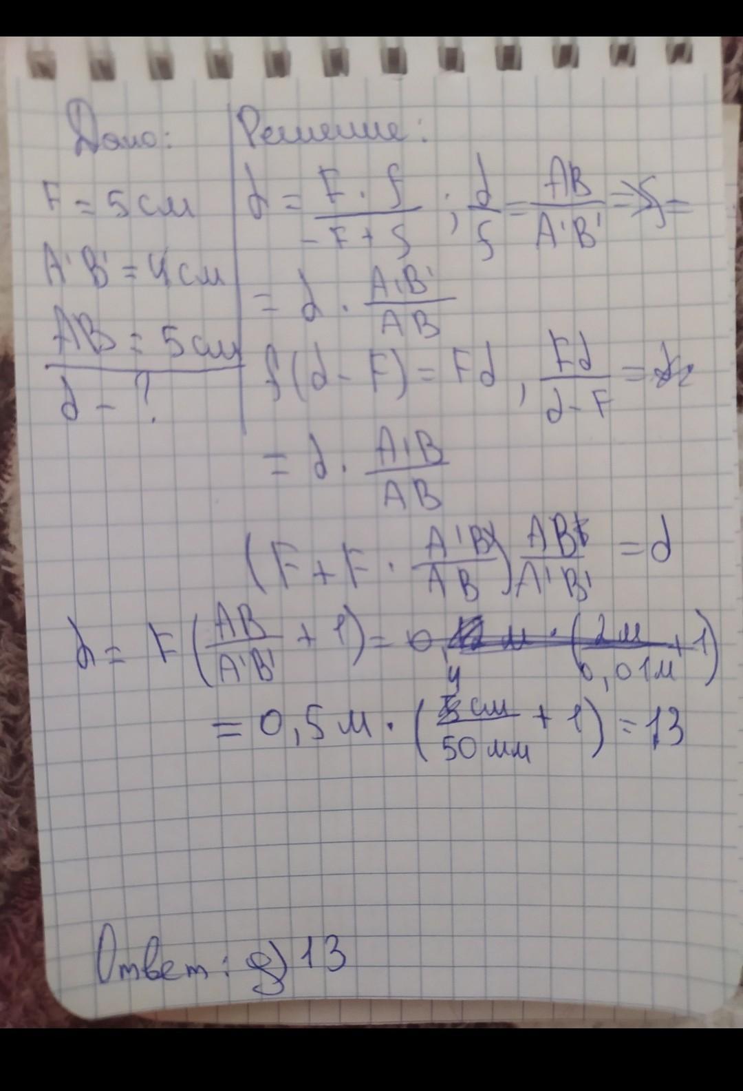
дано:
f=5 см
А'В'=4 см
АВ=5 см
d-?
Приложения:

dariyaaaaa78:
Огромное спасибо, а можете помочь с другими задачами, если вам не сложно?
Вас заинтересует
2 года назад
2 года назад
2 года назад
2 года назад
8 лет назад
8 лет назад