• Предмет: Алгебра
  • Автор: ReyTi1
  • Вопрос задан 7 лет назад

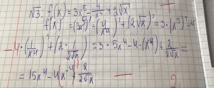
найдите производную функции f(x)=3x в 5 степени -4/x в 4 степени+2 корень x.
решать как на фото!!

Приложения:

Simba2017: f`(x)=15x^4+16/x^5+1/Vx
Simba2017: V-знак корня
Simba2017: у вас неверно найдена производная второго слагаемого
Simba2017: (-4/x^4)`=(-4*x^(-4))`=-4*(-4)*x^(-4-1)=16^x^(-5)=16/x^5
ReyTi1: спасибо большое!! можете в ответы полностью решение отправить?

Ответы

Ответ дал: coolunnameduser
1

f(x) = 3{x}^{5}  -  \frac{4}{ {x}^{4} }  + 2 \sqrt{x} .

f'(x) = (3 {x}^{5} )' - ( \frac{4}{ {x}^{4} } )' + (2 \sqrt{x} )' = 3 ( {x}^{5} )' - 4( \frac{1}{ {x}^{4} } )' + 2( \sqrt{x} )' = 3 \times 5 \times  {x}^{4}  - 4( {x}^{ - 4} ) + 2 \times  \frac{1}{2 \sqrt{x} }  = 15 {x}^{4}  - 4 \times ( - 4) \times  {x}^{ - 5}  +  \frac{2}{2 \sqrt{x} }  = 15 {x}^{4}  + 16 {x}^{ - 5}  +   \frac{1}{ \sqrt{x} }

Вас заинтересует