Ответы
Ответ дал:
0
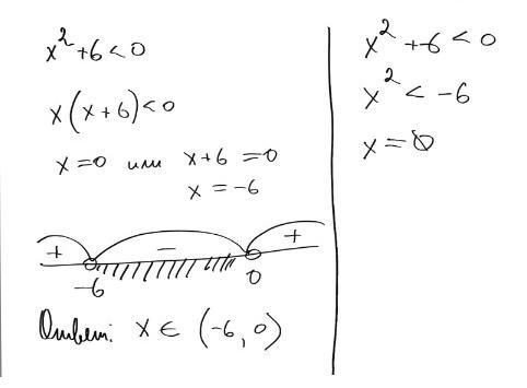
число во второй степени не может быть меньше нуля. поэтому ответа тут нет, но если так необходим метод интервалов, то написано на картинке
Приложения:

Ответ дал:
0
Ответ:
Пошаговое объяснение:
Решений нет. Всегда:
x² + 6 > 0
Вас заинтересует
2 года назад
2 года назад
2 года назад
2 года назад
8 лет назад
8 лет назад
9 лет назад