Помогите пожалуйста написать решение уравнения в Python (Jupiter netbook)

Задание:

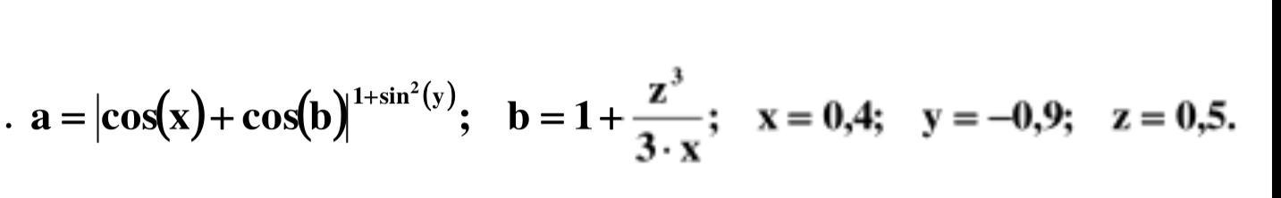
Разработать программу вычисления значений заданных функций для

произвольных значений исходных данных.
Есть пример решения

Приложения:

Ответы

Ответ дал: angryfukse
1

import math as mt

print("x = ")

x = float(input())

#x = 0.4

print("y = ")

y = float(input())

#y = -0.9

print("z = ")

z = float(input())

#z = 0.5

b = 1 + ((z**3) / (3 * x))

a = abs(mt.cos(x) + mt.cos(b))**(1 + (mt.sin(y))**2)

print("a = ", round(a, 3)))

Приложения:
Ответ дал: jerrymynigga
2

Ответ:

N - ое значение

Объяснение:

from math import*

x = float(input('Введите значение для x: '))

y = float(input('Введите значение для y: '))

z = float(input('Введите значение для z: '))

b = 1 + pow(z,3)/3*x

a = pow(abs(cos(x)+cos(b)),1+pow(sin(y),2))

print('a = ', '%.4f'%a)


angryfukse: В задании было сказано разработать программу для произвольных входных данных, есть смысл сделать пользовательский ввод или случайную генерацию
angryfukse: И еще, если ввести приведённые в задании входные данные, программа не заработает, потому что невозможно будет привести их int)
jerrymynigga: Не понимаю к чему клонишь
angryfukse: Ты уже исправил, всё окей
Вас заинтересует