• Предмет: Математика
  • Автор: julia2019meta
  • Вопрос задан 7 лет назад

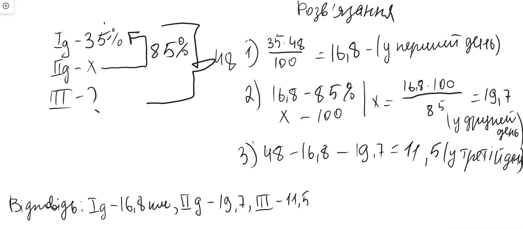
Допоможiть будьласка Турист пройшов за три днi 48 км. За перший день вiн пройшов 35% всього маршруту. Шлях пройдений за перший день, становить 80% вiдстанi , пройденоï за другий день. Скiльки кiлометрiв пройшов турист це 5 класс

Ответы

Ответ дал: brainleum
0

Ответ:

За другий день турист пройшов 21 кілометр

Пошаговое объяснение:

48 ÷ 100 × 35 = 16,8 (за перший день)

16,8 = 80%

16,8 ÷ 80 × 100 = 21 (за другий день)

Ответ дал: dm1502
0

Ответ: прикрепив, використовув пропорцію

Приложения:
Вас заинтересует