• Предмет: Физика
  • Автор: Olesssias
  • Вопрос задан 7 лет назад

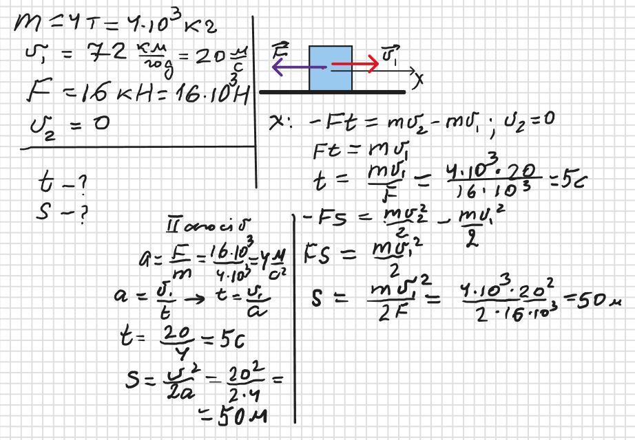
Автомобіль масою 4 т рухається зі швидкістю 72 км/год. Гальмуючи, шофер вимкнув зчеплення і приклав гальмівну силу 16 кН. Визначити шлях і час гальмування.

Можете написать с дано и объяснением. Пожалуйста! Даю 60 баллов.

Ответы

Ответ дал: zybkov1950
0

Відповідь:   50 м                      5 с                      

Пояснення:

Приложения:
Вас заинтересует