Помогите с физикой, дам 100 баллов!
(Дайте, пожалуйста, полный ответ с решением и не пишите глупостей)
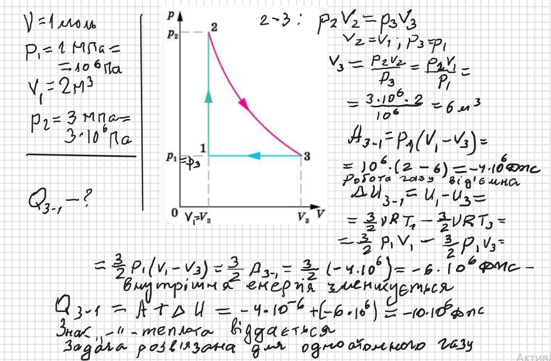
Один моль ідеального газу, який
перебуває в стані 1, спочатку ізохорно
нагрівається до стану 2, потім
ізотермічно розширюється до стану 3,
після чого повертається в стан 1,
охолоджуючись за постійного тиску.
Побудуйте графік зазначеного процесу
в координатах р, V. Визначте кількість
теплоти, відданої газом у ході
охолодження. Тиск і об’єм газу в стані
1 дорівнюють 1 МПа і 2 м3 відповідно,
а тиск у стані 2 дорівнює 3 МПа.
uhimovvlad:
physinform.blogspot
Ответы
Ответ дал:
2
Відповідь: 10 МДж
Пояснення:
Приложения:

Вас заинтересует
2 года назад
8 лет назад
8 лет назад
9 лет назад
9 лет назад