• Предмет: Физика
  • Автор: domirom555
  • Вопрос задан 7 лет назад

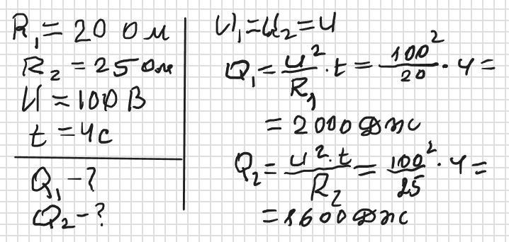
два провідники з опорами 20 Ом і 25 Ом увімкнуті у мережу з напругою 100В. Визначте кількість теплоти яка виділиться за 4 с у кожному провіднику якщо влни зєдгані паралельно ​

Ответы

Ответ дал: komarartem014
2

Ответ:

Q¹2000

Q²=1600........

Приложения:
Ответ дал: zybkov1950
1

Відповідь: 2 кДж         1,6 кДж

Пояснення:

Приложения:
Вас заинтересует