1. Розв'яжи рівняння.
а) 5х – 5,5 = 3х + 3,5;
б) 2x - (7x - 5) = 35;
в) 7x - (х + 3) = 3(2x – 1);
г)

Ответы
Ответ дал:
4
Ответ:
Пошаговое объяснение:
а) 5х – 5,5 = 3х + 3,5
5х-3х=3,5+5,5
2х=9
х=4,5
б) 2x - (7x - 5) = 35
2х-7х+5=35
-5х+5=35
-5х=35-5
-5х=30
х=-6
в) 7x - (х + 3) = 3(2x – 1)
7х-х-3=6х-3
6х-3=6х-3
6х-6х=3-3
0=0
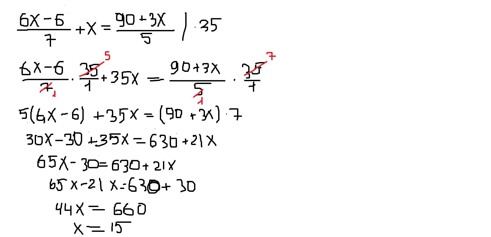
г) на фото. ↓↓↓
Приложения:
maftulakanna:
Спасибо большое:)
:-). неза что. корона потом, ок?
ок
Ответ дал:
4
a) Ответ: 4,5
б) Ответ: -6
в) Ответ: 0
г) Ответ: 15
Вас заинтересует
2 года назад
3 года назад
3 года назад
8 лет назад
10 лет назад