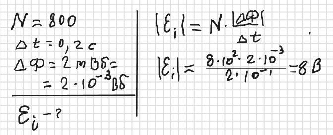
13. Магнітний потік всередині котушки, що має 800 витків, змінюється за 0,2 с на 2 мВб. Визначіть індуковану в котушці ЕРС.
Даю 70 балів
Ответы
Ответ дал:
0
Ответ:
8 В
Объяснение:
Это ответ на задачу
Удачи в учебе!
Ответ дал:
1
Відповідь: 8 В
Пояснення:
Приложения:

Вас заинтересует
2 года назад
2 года назад
2 года назад
2 года назад
8 лет назад