• Предмет: Алгебра
  • Автор: minl997
  • Вопрос задан 7 лет назад

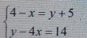
решить способ подстановки ​

Приложения:

Ответы

Ответ дал: Angelino4ka95
1

Объяснение:

4 - x = y + 5 \\ y - 4x = 14

y =  - 1 - x \\ y - 4x = 14

 - 1 - x - 4x = 14

x =  - 3

y =  - 1 - ( - 3)

y = 2

Вас заинтересует