• Предмет: Математика
  • Автор: novruzovafatime270
  • Вопрос задан 7 лет назад

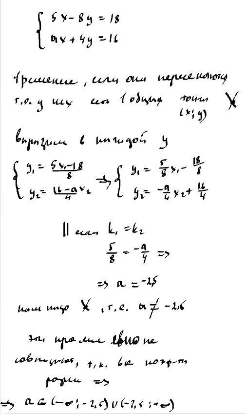
при каком значении а система уравнений {5x-8y=18 ax+4y=16 имеет единственное решение​

Ответы

Ответ дал: Гурлей
1

Ответ: при а не равное -2.5 система будет иметь единственное решение

Пошаговое объяснение:

см приложение

Приложения:
Вас заинтересует