• Предмет: Геометрия
  • Автор: plusbeiis
  • Вопрос задан 7 лет назад

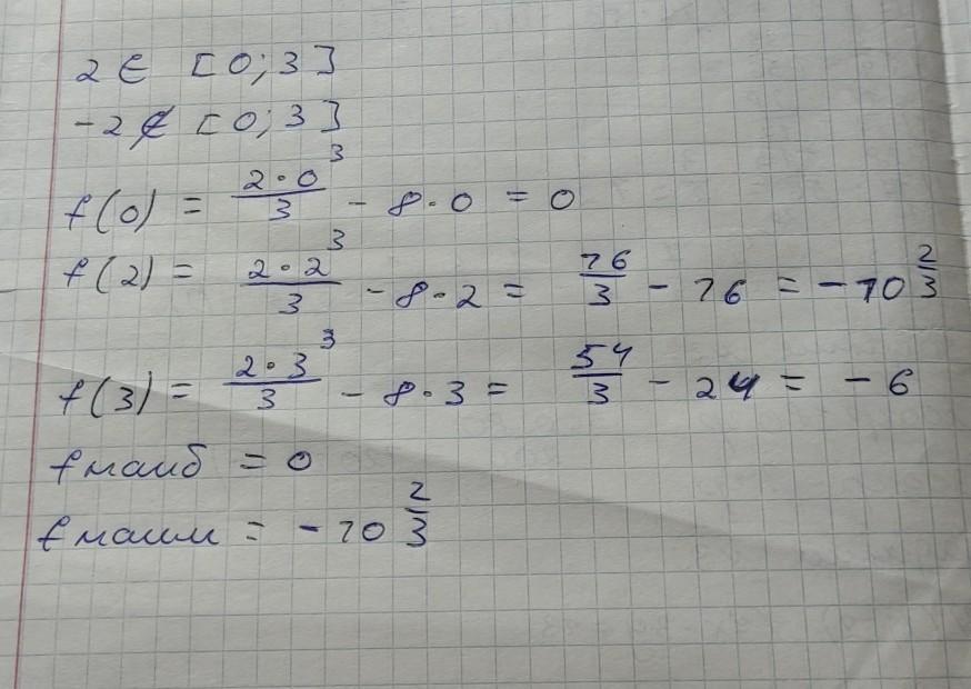
Функцію задано за формулую: (на малюнку) 1)Знайти критичні точки f(x) 2) Знайти найбільше і найменше значення функції f(x) на відрізку [0;3].​

Приложения:

Ответы

Ответ дал: Matrosik2004
1

Ответ:

Во вложениях

Объяснение:

Алгоритм нахождения - также во вложениях.

Приложения:
Вас заинтересует