• Предмет: Алгебра
  • Автор: Olenka423
  • Вопрос задан 7 лет назад

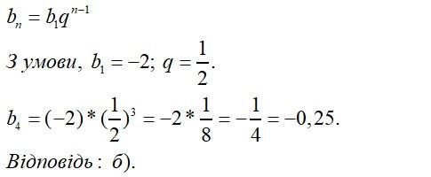
Знайдіть четвертий член геометричної прогресії ( bn ), якщо b1=-2; q= 1/2
a) 1/4; б) - 1/4; в) 4; г) -4

Ответы

Ответ дал: yevheniiavz
0

дивіться фото..................

Приложения:
Вас заинтересует