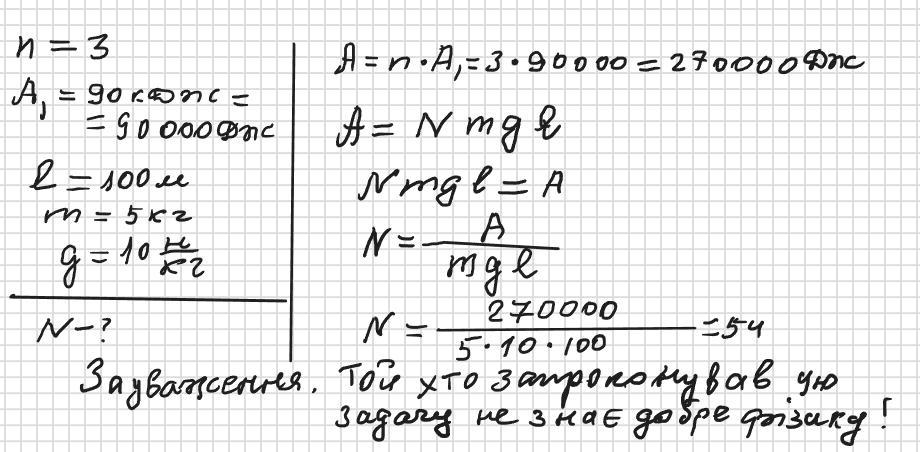
Самий крутий пацан на районі, або просто Козел, весь аж упрів тягнучи капусту з городу баби Палашки. Скільки голівок капусти не дорахувалась бабця, якщо козел виконав 3 «ходки» кожного разу виконуючи роботу 90кДж переносячи скарб у свій погріб викопаний за 100м від городу бабці та брав лише голівки масою 5кг
Ооооочень строчнооо!
Ответы
Ответ дал:
0
Відповідь:
Палашка з повними від сліз очима жалілась сусідці Нюрі що якийсь козел поцупив 54голівки капусти.
supryagaira:
A можна ще раз але з розвязком ???
Ответ дал:
1
Відповідь: 54
Пояснення:
Приложения:

Вас заинтересует
2 года назад
2 года назад
8 лет назад
8 лет назад
9 лет назад
9 лет назад