• Предмет: Алгебра
  • Автор: ysisk
  • Вопрос задан 7 лет назад

Помогите пожалуйста с примером

Приложения:

Ответы

Ответ дал: MatemaT123
2

Ответ:

\pm \dfrac{1}{6} \bigg (\pi-\arccos\bigg (\dfrac{1}{3}\bigg ) \bigg )+\dfrac{\pi n}{3}, \ n \in \mathbb{Z};

Объяснение:

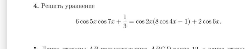
6\cos5x \cos7x+\dfrac{1}{3}=\cos2x(8\cos4x-1)+2\cos6x;

6 \cdot \dfrac{\cos(5x-7x)+\cos(5x+7x)}{2}+\dfrac{1}{3}=8\cos2x \cos4x-\cos2x+2\cos6x;

3\cos(-2x) + 3\cos12x+\dfrac{1}{3}=8 \cdot \dfrac{\cos(2x-4x)+\cos(2x+4x)}{2}-\cos2x+2\cos6x;

3\cos2x+3\cos12x+\dfrac{1}{3}=4\cos2x+4\cos6x-\cos2x+2\cos6x;

3\cos2x-4\cos2x+\cos2x+\dfrac{1}{3}=6\cos6x-3\cos12x;

6\cos6x-3\cos12x=\dfrac{1}{3};

6\cos6x-3\cos(2 \cdot 6x)=\dfrac{1}{3};

6\cos6x-3(2\cos^{2}6x-1)=\dfrac{1}{3};

6\cos6x-6\cos^{2}6x+3=\dfrac{1}{3};

6\cos^{2}6x-6\cos6x-3=-\dfrac{1}{3};

6\cos^{2}6x-6\cos6x-3+\dfrac{1}{3}=0;

6\cos^{2}6x-6\cos6x-2\dfrac{2}{3}=0 \quad \bigg | \cdot \dfrac{3}{2}

9\cos^{2}6x-9\cos6x-4=0;

\cos6x=t;

9t^{2}-9t-4=0;

D=b^{2}-4ac \Rightarrow D=(-9)^{2}-4 \cdot 9 \cdot (-4)=81+144=225; \quad \sqrt{D}=15;

t_{1,2}=\dfrac{-b \pm \sqrt{D}}{2a} \Rightarrow t_{1}=\dfrac{-(-9)+15}{2 \cdot 9}=1\dfrac{1}{3}; \quad t_{2}=\dfrac{-(-9)-15}{2 \cdot 9}=-\dfrac{1}{3};

Корень t₁ не имеет смысла.

\cos6x=-\dfrac{1}{3}; \quad 6x=\pm \arccos\bigg (-\dfrac{1}{3} \bigg )+2\pi n, \ n \in \mathbb{Z};

6x=\pm \bigg (\pi-\arccos \bigg (\dfrac{1}{3} \bigg ) \bigg )+2\pi n, \ n \in \mathbb{Z};

x=\pm \dfrac{1}{6} \bigg (\pi-\arccos\bigg (\dfrac{1}{3}\bigg ) \bigg )+\dfrac{\pi n}{3}, \ n \in \mathbb{Z};


ysisk: Спасибо огромное
ysisk: Вас не затруднит посмотреть задачу по геометрии?
Вас заинтересует