• Предмет: Алгебра
  • Автор: doonex
  • Вопрос задан 7 лет назад

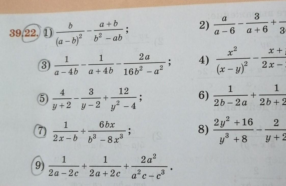
преобразуйте в дроби выражения (p.s. что карандашом отмечена нужно делать!)​

Приложения:

Ответы

Ответ дал: Alnadya
1

Решение.

Применяем формулы сокращённого умножения.

\bf 1)\ \displaystyle \frac{b}{(a-b)^2}-\frac{a+b}{b^2-ab}=\frac{b}{(b-a)^2}-\frac{a+b}{b(b-a)}=\frac{b^2-(a+b)(b-a)}{b(b-a)^2}=\\\\\\=\frac{b^2-(b^2-a^2)}{b(b-a)^2}=\frac{b^2-b^2+a^2}{b(b-a)^2}=\frac{a^2}{b(b-a)^2}

\displaystyle \bf 3)\ \frac{1}{a-4b}-\frac{1}{a+4b}-\frac{2a}{16b^2-a^2}=\frac{1}{a-4b}-\frac{1}{a+4b}-\frac{2a}{(4b-a)(4b+a)}=\\\\\\=\frac{1}{a-4b}-\frac{1}{a+4b}+\frac{2a}{(a-4b)(a+4b)}=\frac{a+4b-(a-4b)+2a}{(a-4b)(a+4b)}=\\\\\\=\frac{a+4b-a+4b+2a}{(a-4b)(a+4b)}=\frac{2a+8b}{(a-4b)(a+4b)}=\frac{2(a+4b)}{(a-4b)(a+4b)}=\\\\\\=\frac{2}{a-4b}

\displaystyle \bf 5)\ \frac{4}{y+2}-\frac{3}{y-2}+\frac{12}{y^2-4}=\frac{4}{y+2}-\frac{3}{y-2}+\frac{12}{(y-2)(y+2)}=\\\\\\=\frac{4(y-2)-3(y+2)+12}{(y-2)(y+2)}=\frac{4y-8-3y-6+12}{(y-2)(y+2)}=\frac{y-2}{(y-2)(y+2)}=\\\\\\=\frac{1}{y+2}

\displaystyle \bf 7)\ \frac{1}{2x-b}+\frac{6bx}{b^3-8x^3}=\frac{-1}{b-2x}+\frac{6bx}{(b-2x)(b^2+2bx+x^2)}=\\\\\\=\frac{-(b^2+2bx+x^2)+6bx}{(b-2x)(b^2+2bx+x^2)}=\frac{-b^2-2bx-x^2+6bx}{(b-2x)(b^2+2bx+x^2)}=\\\\\\=\frac{-b^2+4bx-x^2}{(b-2x)(b^2+2bx+x^2)}=\frac{-(b^2-4bx+x^2)}{(b-2x)(b^2+2bx+x^2)}=\\\\\\=\frac{-(b-2x)^2}{(b-2x)(b^2+2bx+x^2)}=\frac{-(b-2x)}{b^2+2bx+x^2}=\frac{2x-b}{b^2+2bx+x^2}

\displaystyle \bf 9)\ \frac{1}{2a-2c}+\frac{1}{2a+2c}+\frac{2a^2}{a^2c-c^3}=\frac{1}{2a-2c}+\frac{1}{2a+2c}+\frac{2a^2}{c(a-c)(a+c)}=\\\\\\=\frac{1}{2(a-c)}+\frac{1}{2(a+c)}+\frac{2a^2}{c(a-c)(a+c)}=\frac{c(a+c)+c(a-c)+4a^2}{2c(a-c)(a+c)}=\\\\\\=\frac{ac+c^2+ac-c^2+4a^2}{2c(a-c)(a+c)}=\frac{2ac+4a^2}{2c(a-c)(a+c)}=\frac{2a(c+2a)}{2c(a-c)(a+c)}=\\\\\\=\frac{a(c+2a)}{c(a^2-c^2)}  


doonex: спасибо!
Alnadya: нажми на кнопки
Вас заинтересует