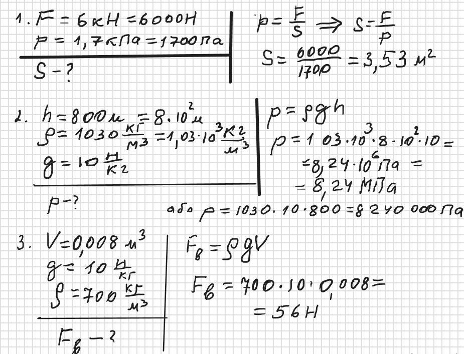
Якою має бути площа, щоб силою в б кН чинити тиск в 1,7 кПа?
2. Який тиск буде в морі на глибині 800
M?
3. Обчисліть виштовхувальну силу, яка діє на повністю занурене у гас тіло,
об'єм якого 0,008 м3. помогите пжжжжж
Ответы
Ответ дал:
1
Ответ:
1
р =F \ SS = F \ pS = б Кн \ 1700
2
давление в море на глубине 800мp=pghp=1030*10*800=8240000Па
3
плотность воды 1000 кг/м3, g=10 м/с2 - постоянные значения.F=1000*10*2 Н=20 000 НОтвет: F=20 000 Н
dinis20022000:
Помогите пожалуйста
Ответ дал:
1
Відповідь: Див. додаток
Пояснення:
Приложения:

Вас заинтересует
2 года назад
2 года назад
8 лет назад
8 лет назад
9 лет назад