Очень срочно! Пожалуйста, даю все свои оставшиеся балы
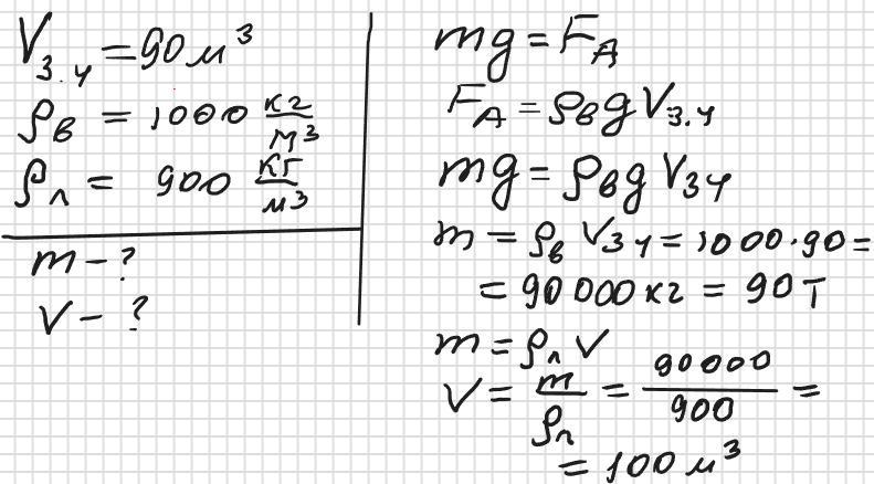
Об'єм зануреної частини айсберга становить 90 м3 Знайдіть масу айсберга і весь його об'єм.
Ответы
Ответ дал:
1
Відповідь: 90 т 100 м³
Пояснення:
Приложения:

gorodnickagloria:
Спасибо большое!
Вас заинтересует
2 года назад
2 года назад
2 года назад
2 года назад
8 лет назад
8 лет назад
9 лет назад