• Предмет: Алгебра
  • Автор: artembro410
  • Вопрос задан 7 лет назад

СРОЧНО ПОМОГИТЕ!!!!!!​

Приложения:

Ответы

Ответ дал: Persyla
0

Ответ:

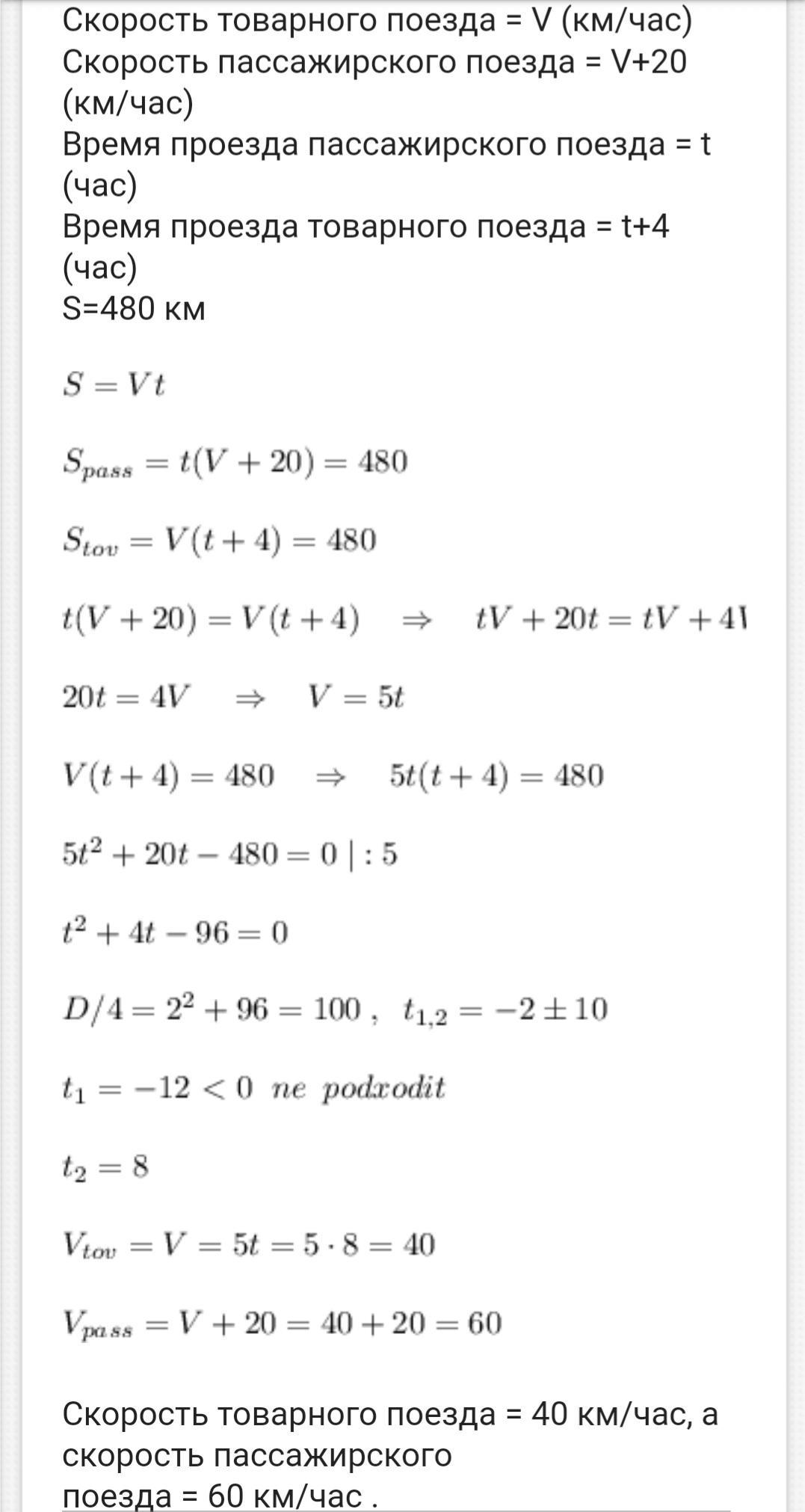
У прикріплення відповідь

Объяснение:

.

Приложения:
Вас заинтересует