1.найдите корни уравнения 6х^2-х-35=0
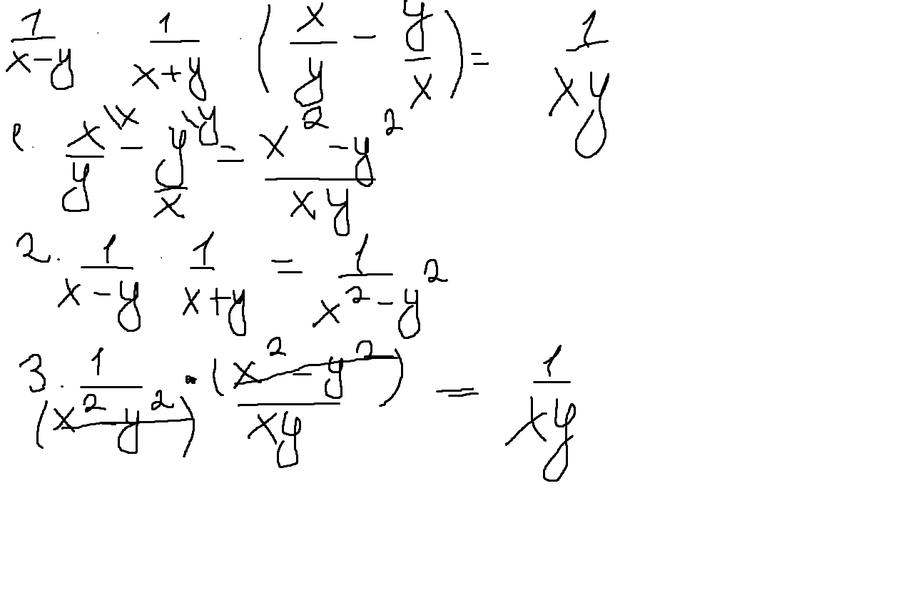
2.упростите выражение 1дробь х-у * 1 дробь х+у * (х дробь у-у дробь х).
3. решите неравенство 14+4(3-х)<-2(5-х)
Ответы
Ответ дал:
0
1)6x2-x-35=0
d=(-1)2-4*6*(-35)=1+840=841
x1=(1+29)/12=15/6
x2=(1-29)/12=-3/2
Приложения:


Вас заинтересует
2 года назад
8 лет назад
8 лет назад
10 лет назад
10 лет назад