• Предмет: Математика
  • Автор: TheBest8751
  • Вопрос задан 7 лет назад

помогите пожалуйста!!!!
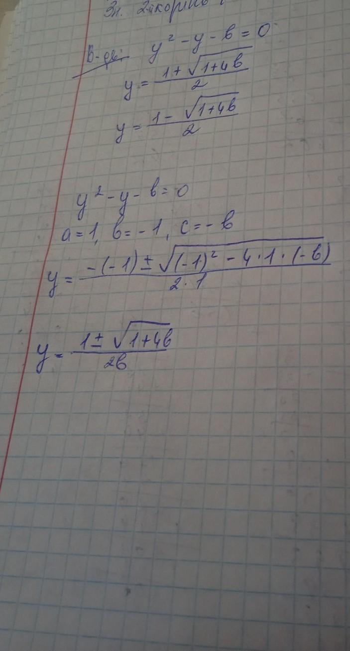
один із коренів даного рівняння дорівнює 4. Знайдіть другий корінь і число b:
y²-y-b=0
(с объяснением) ​

Ответы

Ответ дал: evgeniapavlij497
1

у2-у-b=0

Потрібно дискримінант

Приложения:

TheBest8751: дякую, але чому дорівнює b і другий корінь. в мене вийшло -3 і -12, але правильна відповідь -3 і 12
TheBest8751: чому 12, а не -12? дорожи будь ласка, буду вдячна
TheBest8751: допоможи*
Вас заинтересует