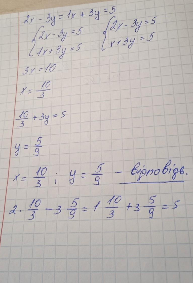
Не виконуючи побудови, знайти координати точки перетину графіків рівнянь: 2x – Зу = 1 іх+ Зу = 5
Ответы
Ответ дал:
1
Ответ:
Пошаговое объяснение:
Точка пересечения: (2 ; 1).
Ответ дал:
0
Ответ:
Це повинно бути правильна відповідь
Приложения:

Вас заинтересует
2 года назад
2 года назад
8 лет назад
8 лет назад
9 лет назад
9 лет назад