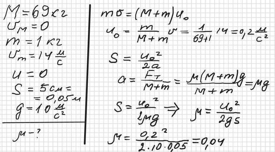
хлопець масою 69 кг стоїть на льоду та ловить м'яч масою 1 кг, який летів горизонтально зі швидкістю 14 м/c. після цього хлопець відкотився на 5 см поверхнею льоду до повної зупинки. чому дорівнює коофіцієнт тертя об лід
Ответы
Ответ дал:
2
Відповідь: 0,04
Пояснення:
Приложения:

jirniy777:
спасибо за вопрос
Вас заинтересует
2 года назад
2 года назад
2 года назад
2 года назад
8 лет назад
9 лет назад
9 лет назад