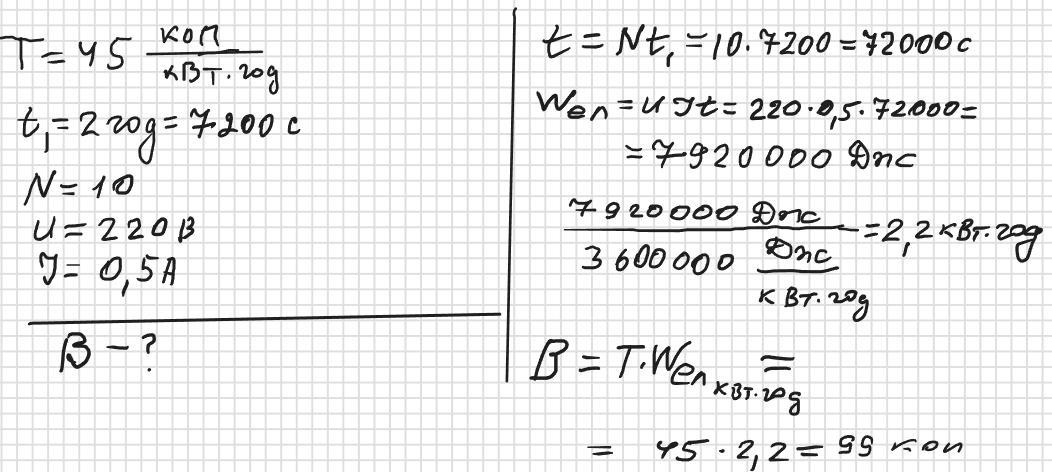
Срочно!!!!Підрахуйте вартість електроенергії при тарифі 45 коп/1 Квт год., що споживається електрокип'ятильником за 2 год. протягом 10 днiв при напрузі у колі 220 В і струмі 0,5 А.
Ответы
Ответ дал:
5
Відповідь: 99 коп
Пояснення:
Приложения:

Вас заинтересует
2 года назад
2 года назад
8 лет назад
9 лет назад