• Предмет: Математика
  • Автор: cumtumama33
  • Вопрос задан 7 лет назад

Помогитееееееееееееее

Приложения:

Ответы

Ответ дал: tatsach
1

Ответ:

Пошаговое объяснение:

Приложения:
Ответ дал: Аноним
0

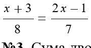
\displaystyle \frac{x+3}{8}=\frac{2x-1}{7}\\ \\7(x+3)=8(2x-1)\\ 7x+21=16x-8\\7x-16x=-8-21\\-9x=-29\\\\x=\frac{29}{9}=3\frac{2}{9}

Вас заинтересует