Ответы
Ответ дал:
1
Ответ:
Номер 4: 39 километров
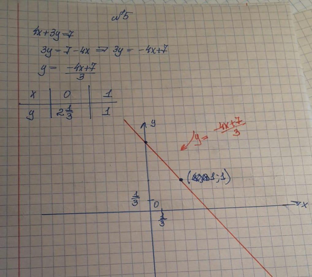
Номер 5: Координаты точек (1;1)
Объяснение:
Заметим, что других точек в номере 5 быть не может так как эти точки либо в зоне y>0; x<0 , но заметим, что в эту зону мы попадаем когда y = 2 1/3, а x = 0 => ситуации с равенством по модулю там не возникнет, либо когда y<0 и x<0, но в момент перехода y = 0, a x примерно = 1 2/3, (можно высчитать точно подставив вместо y = 0 в выражение функции) => таких точек не возникнет => точка (1;1) - единственная
Приложения:


Вас заинтересует
2 года назад
2 года назад
2 года назад
8 лет назад
8 лет назад
9 лет назад
9 лет назад