МАТЕМАТИКА 5 КЛАСС
Тема: Нахождение дробей от числа
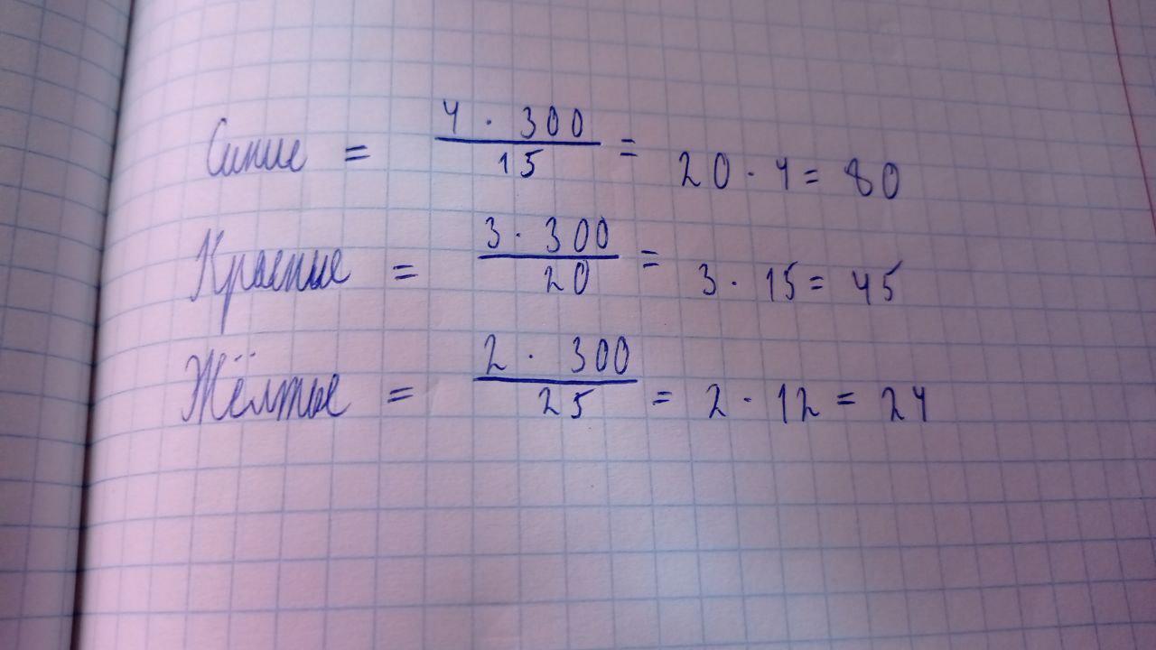
В коробке 300 разноцветных шариков. Синие шарики состовляют 4/15 всех шариков, красные 3/20,жёлтые 2/25. Сколько в коробке шариков каждого цвета?
nastacervakova67:
жду
Ответы
Ответ дал:
0
Відповідь:
Син 80
Крас 45
Жёлт 24
Покрокове пояснення:
Приложения:

Вас заинтересует
2 года назад
2 года назад
8 лет назад
8 лет назад
9 лет назад
9 лет назад