• Предмет: Алгебра
  • Автор: Аноним
  • Вопрос задан 7 лет назад

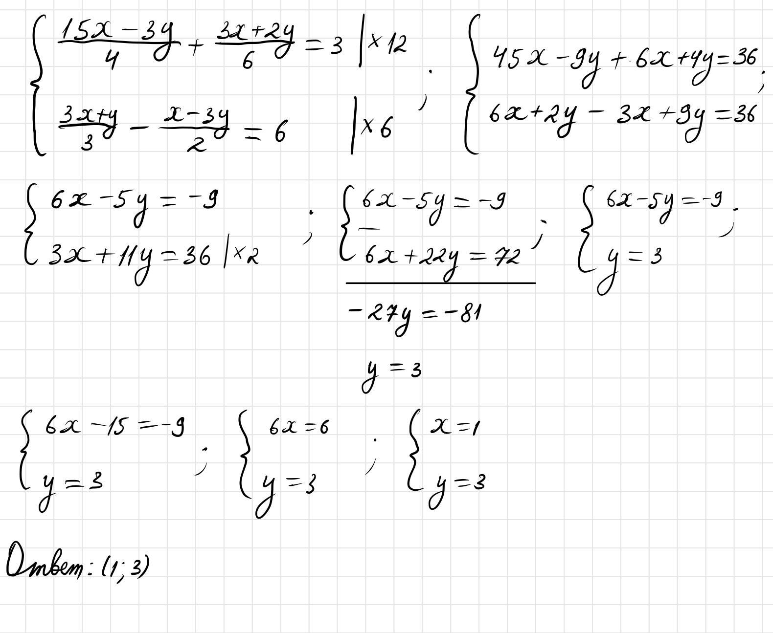
15х-3у/4 + 3х+2у/6=3 и 3х+у/3 - х-3у/2=6 пожалуйста решите

Ответы

Ответ дал: skataka
2

………………………………………………………………………..

Приложения:

Аноним: Спасибо огромное, вроде правильно, благодарю!
Вас заинтересует