• Предмет: Геометрия
  • Автор: gordeikachalow
  • Вопрос задан 7 лет назад

Помогите пожалуйста: Тема: Точка на луче

Приложения:

Ответы

Ответ дал: skataka
1
…………………………………………………..
Приложения:
Ответ дал: unknownx0
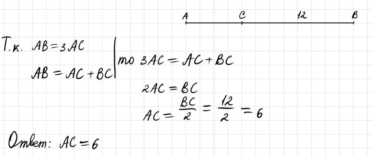
1

Ответ:

6

Объяснение:

Пусть AC=x, тогда AB=3x

BC=AB-AC=3x-x=2x

Мы знаем, чему равно BC

BC=2x=12~\Rightarrow~AC=x=6

Приложения:
Вас заинтересует