Розв'яжіть рівняння 4х-5=5(2х-3)-5х і 5х + 12 = 8х + 30. Увага!!! У відповідь запишіть СУМУ коренів!!!
Ответы
Ответ дал:
1
Ответ:
4
Пошаговое объяснение:
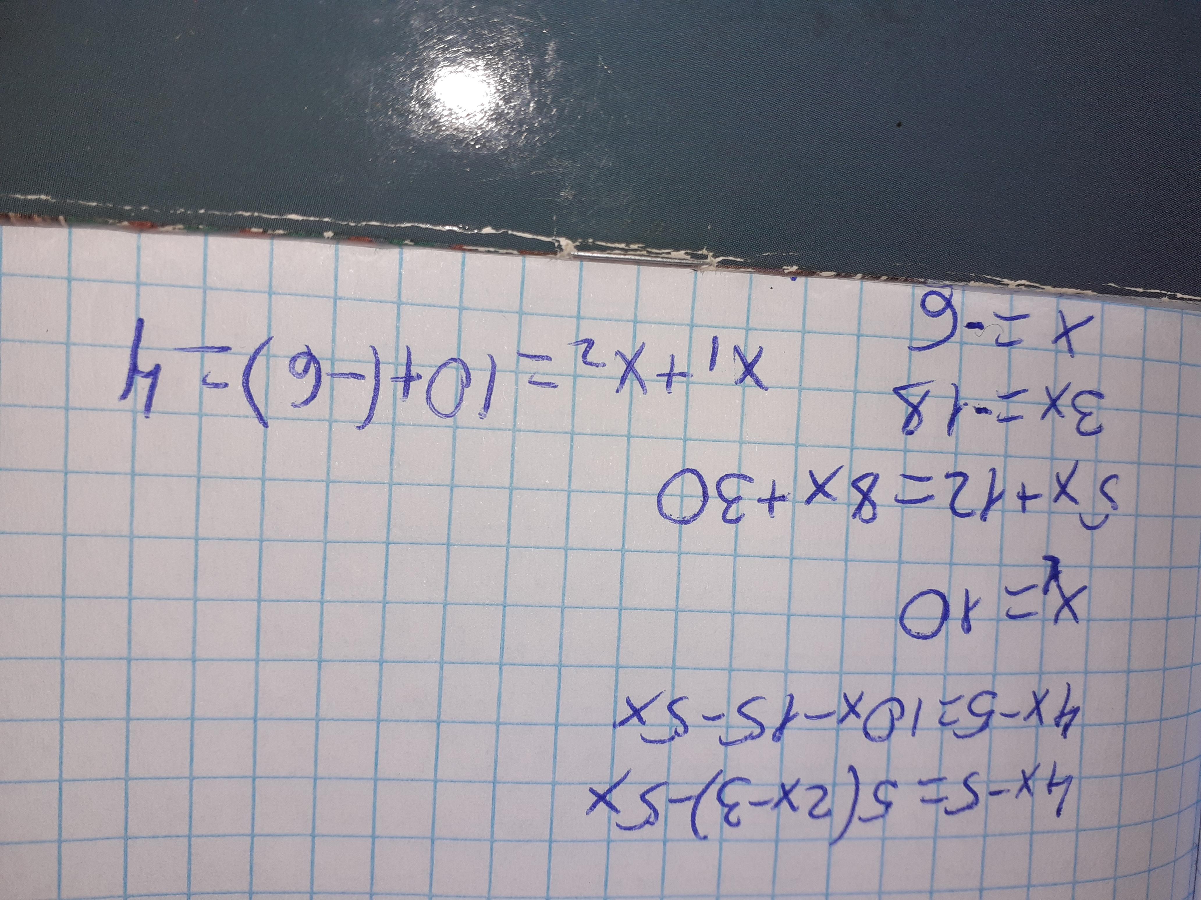
4х-5=5(2х-3)-5х 5х + 12 = 8х + 30
4х-5=10х-15-5х -3х=18
4х-10х+5х=5-15 х=-6
-х=-10
х=10
сумма корней 10-6=4
Ответ дал:
0
Ответ:вот
Пошаговое объяснение:
Приложения:

Вас заинтересует
2 года назад
2 года назад
2 года назад
8 лет назад
8 лет назад
9 лет назад