Решите номер 1 и 4 пожалуйста
Приложения:

Гурлей:
№1 не видно
Ответы
Ответ дал:
1
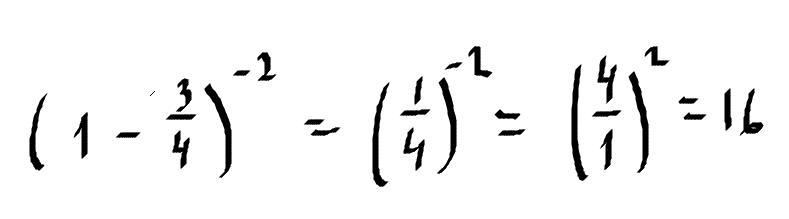
см приложение...............
Приложения:


Вас заинтересует
2 года назад
2 года назад
2 года назад
2 года назад
9 лет назад