За срочность даю больше баллов чем обычно
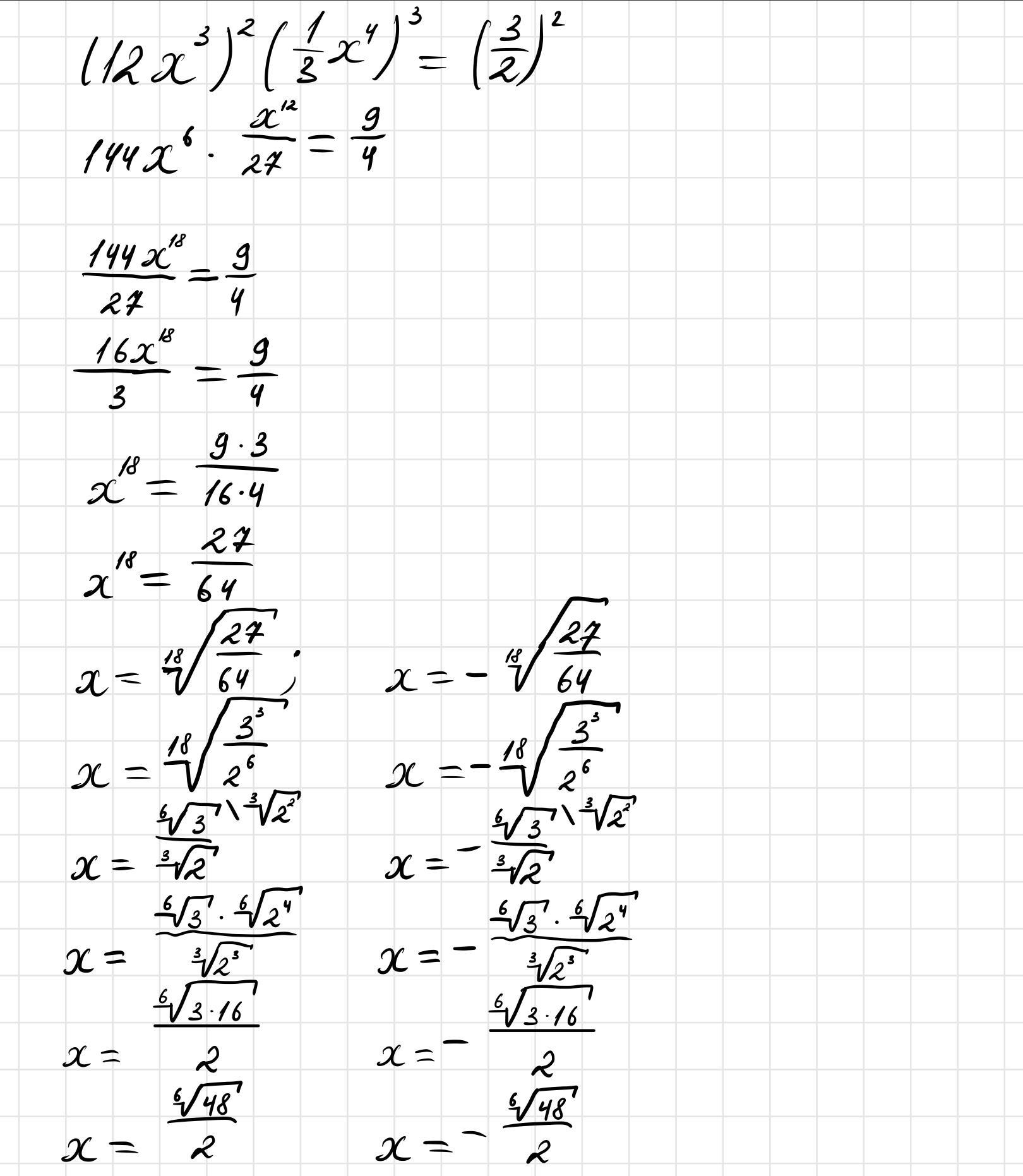
(12x^3)^2 * (1/3 x^4)^3 = (3/2)^2
Приложения:

ivan2009a:
чел
Ответы
Ответ дал:
0
см вложение
………………………..
Приложения:

Вас заинтересует
2 года назад
2 года назад
2 года назад
8 лет назад
8 лет назад
9 лет назад
9 лет назад